|
Сообщения без ответов | Активные темы
Текущее время: Сб 07-03-2026, 14:53
Ил-2 Штурмовик: Битва за Сталинград
| Автор |
Сообщение |
|
Romeo
Старпер
Зарегистрирован: Вт 20-05-2003, 23:41 Сообщения: 12113 Откуда: с кедра
|
 Re: Ил-2 Штурмовик: Битва за Сталинград
Серый отличный пилот, и его спор-обсуждение с Сендером априори обогащает познания в игре. Пока что Серый доказал максималку "лавки", Сендер, а ты говоришь про боевую, или как там, скорость, про приемистость. Лучшей приемистостью обладал Як, а Як-3 в советское время назначили лучшим истребителем ВОВ как раз за это - резкие ускорения.
_________________ Развалинами Рейхстага - удовлетворён!
Нас бьют - мы летаем!
|
| Пт 18-12-2015, 14:30 |
|
 |
|
TUS_Sender
Илитка
Зарегистрирован: Вс 06-11-2005, 18:38 Сообщения: 4091
|
 Re: Ил-2 Штурмовик: Битва за Сталинград
Серый доказал максималку весьма своеобразно, если внимательно смотреть ролик:
1) с октрытыми впускными и выпускными створками он дал форсаж и разогнал её до 500 км/ч, через три минуты скорость установилась и не менялась, а после 4-й минуты двигатель должен был клинануть. 2) отключается форсаж, закрываются выпускные створки и опять включается форсаж - скорость просесть не успела, форсаж сброшен - двигло типо как новое. 3) на шестой минуте (за минуту до клина) мы получаем цифру 537 км/ч
То есть в ходе "доказательства" менялись условия и режимы и двигателя и обдува, что как бы не совсем методически верно, ведь речь идёт не о рекордах, а об характеристиках боевой машины, на которые боевой пилот может положится и уверенно использовать в бою, а не на 6-ой минуте горизонтального полёта. На мессере все скоростные режимы устанавливаются в течение 1-3 минут, а не 6-ти.
Действительно, скорость достигнута, но какой смысл во всех этих манипуляциях если их невозможно реализовать нигде, кроме как в условиях абсолютной неприкосновенности в течении 6 минут. И что то я сомневаюсь, что пилоты испытатели занимались данным очковтирательством. А боевые пилоты не замечали факта полной неспособности к маневренному бою нового истребителя.
На шестой минуте Карл!!!
_________________ .... делай что должен, и будь, что будет ...
|
| Пт 18-12-2015, 14:49 |
|
 |
|
Romeo
Старпер
Зарегистрирован: Вт 20-05-2003, 23:41 Сообщения: 12113 Откуда: с кедра
|
 Re: Ил-2 Штурмовик: Битва за Сталинград
Серега, максимальная скорость любого аппарата - это то, чего достигли испытатели завода за все время испытаний, пусть один раз, это величина несколько рекламная. Максимальная скорость совсем не предполагает, что ее достигнет любой пользователь. Москвич 412 имел 140 км/час по паспорту, я сомневаюсь, что кто-то достиг этой скорости реально, не по спидометру, ибо при 130 км/час у него передние колеса отрывались от земли и он практически переставал управляться.
Я сейчас только про максималку, остальные твои претензии к разработчикам игры не рассматриваю. Серый показал 578 км/час, я смотрел только первый ролик. Выжал, доказал. Спорьте дальше, мы почитаем.
_________________ Развалинами Рейхстага - удовлетворён!
Нас бьют - мы летаем!
|
| Пт 18-12-2015, 15:00 |
|
 |
|
Серый
Компарь-рукоблуд
Зарегистрирован: Ср 21-02-2007, 16:18 Сообщения: 144 Откуда: Томск
|
 Re: Ил-2 Штурмовик: Битва за Сталинград
 |  |  |  | TUS_Sender писал(а): Серый, оставим споры про аэродинамику мне, честно, не хватает знаний понять, как 30% рост мощности съедают створки радиатора, а то у лага их не было. Лучше объясни мне, как ты летом первые 3 минуты летел с форсажом не боле 500 км/ч, а в последующие вдруг 537 км/час набрал - что это за чудеса? Эти фокусы со створками - это для чего? Зачем тебе то кого то оправдывать? Если даже с открытыми створками лететь на форсаже 500 км\ч через 4 минуты клин двигла, нахер мне на 6-й минуте с закрытыми створками эти 537, когда мес их имеет в первые две минуты? А если час лететь с уклоном в 0.5 градуса может и 600 км\ч наберёшь. В реальном бою ты не увидишь никогда эти 537 и 564, тебя грохнут раньше, так и зачем эти сферические кони в вакууме, когда месс свои характеристики в реальном бою выдаёт в течении 2-х минут? Никто не даст тебе в бою лететь в горизонте и створками играть. Динамика в бою роль играет, а её нет. Ты сядь на месса и поставь против себя лавку, и поверь мне, ты услышишь как боты матерятся, когда лавка бьётся в конвульсиях на виражах и тупит на любом маневре - у меня вопрос, если Ла5 был хуже практически во всём лагга, кроме максимальной скорости - зачем его дальше то продолжили в серии? |  |  |  |  |
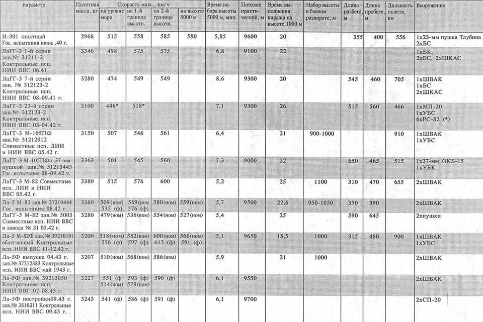
Объясняю. Сперва я на полностью открытых радиаторах взял максимальный разгон на номинале, получилось 463км/ч, потом дал форсаж, получилось 499км/ч. Затем прикрыл маслорадиатор в положение "по потоку" (а у лавки это 93%), и полностью закрыл выходные створки капота (тут фишка в том что даже на полностью закрытых, остается зазор 4мм и охлаждение не прекращается), а входные не трогал т.к. сразу ловится перегрев и повторил процедуру. На номинале получилось 498км/ч а на форсаже 535км/ч. Я просто 4 режима полета совместил в 1 видео, чтобы наглядно показать разницу. Отчетливо видно что створки жрут 13% скорости (а еще поганят вираж). Полностью согласен что в игре присутствует синий перекос. Немецкая техника имеет характеристики где-то чуть лучше чем положено, где-то как положено, наша где-то чуть хуже где-то как положено. Факт. Например судя по таблице на форсаже лавка ровно выдает положенные 535-536км/ч (ну 1км/ч недобора не страшно, да и в диапазон попадает) а вот на номинале в диапазон 509-519 не попадает. А вот у Яка диапазон 505-530 и он летит 517, ровно середина! Значит лавка на номинале не добирает или 10 а если по честному 15 км/ч. Фока вместо 540-544 жмет 547, перебор. Насчет динамики ты полностью прав, но только не у немцев она завышена а наоборот у наших занижена. Просто и динамика и скороподъемность зависят по большей части от одной и той же величины - тяговооруженности. Но! Скороподъемность замеряли в те годы как: секундомером засекали время подъема на 5км, а потом переводили в метры в минуту или метры в секунду. И естественно у наших получались усредненные (т.е. заниженные на малых и завышенные на больших высотах) и довольно низкие показатели. Яки к тому-же еще горизонтальные пролеты во время набора делали чтобы охладиться. А скороподъемность на конкретной высоте напрямую зависит от тяговооруженности на этой высоте которая зависит от мощности двигателя на этой высоте. Вообще http://www.wwiiaircraftperformance.org/ очень хороший сайт, там подробные данные и по фоке А3 есть, и по мессу Г2, и по П40, и по 110ке. И там действительно Г2 медленнее Ф4, до 6060м. Например: Performance Measurment Me 109 G with DB 605 A and DB 601 E Test Report Nr. 109 19 L 42 Date 19.9.42 <-Обращаем особое внимание что это Сентябрь 42го Copy 3 Results: Speed with DB 601 E at sea level Vo = 319 mph (510.4 км/ч на уровне моря) Speed with DB 605 A at sea level Vo = 315 mph (504 км/ч на уровне моря) Speed with DB 601 E at FTH = 19,685 ft. v = 386 mph (617.6 км/ч на 5965м) Speed with DB 605 A at FTH = 20,013 ft. v = 389 mph (622.4 км/ч на 6060м) Service ceiling at 98 ft/min with DB 601 E H = 40,354 ft. Service ceiling at 98 ft/min with DB 605 A H = 41,339 ft. http://www.wwiiaircraftperformance.org/ ... 9-L-42.pdf - оригинал, причем интересно, на графике Ф4го там 511, а текстом 514, и для Г2 504 на графике и 507 текстом И в игре ни тот ни другой самолет не соответсвует этим данным, я Ф4 разгонял до 533, а Г2 до 519 у земли, причем ЛЕТОМ, перебор И кстати: http://www.wwiiaircraftperformance.org/ ... 109_G2.pdf даже время левого и правого виража отдельно расписаны, и вот http://www.wwiiaircraftperformance.org/ ... ussian.pdf вот это я понимаю достоверные данные. Кстати покажу разрабам на досуге, только сперва все проверю. на оптимальных для установившегося виража, и на критических для форсированного виража, на закритических уже штопор. Предкрылки как раз отодвигают ту грань когда самолет срывается в штопор (а еще улучшают работу элеронов на больших углах атаки), но если находиться близко к этой грани (т.е. пересечь черту когда такой же самолет без предкрылков уже свалился) то самолет сильно теряет скорость и долго в таком вираже стоять не сможет, завалится. Кстати они и максимальную скорость чуть-чуть жрут (нарушают обтекание профиля) но это почти не заметно и можно не учитывать.
Последний раз редактировалось Серый Пн 21-12-2015, 15:48, всего редактировалось 1 раз.
|
| Пт 18-12-2015, 15:44 |
|
 |
|
TUS_GAA
Полковник-выскочка
Зарегистрирован: Пн 07-03-2011, 00:51 Сообщения: 1054 Откуда: из СССР
|
 Re: Ил-2 Штурмовик: Битва за Сталинград
Серый, прошу прощения за обращение по позывному,это что бы не злить модераторов делая вложения из Вашего поста. Приведенные Вами таблицы доказывают, что на высотах до 3000м, Ла-5 и Ме-109Ф4 по скоростным показателям равны, опять же время устойчивого виража пусть то же будут равны (хотя у Лавки меньше), Вы можете объяснить каким образом в игре выходит, то что Мессер стоит в вираже, а Лавка очень быстро сваливается? Плача Ярославны не будет, просто хочется понять, как мои учителя в реалии на фронтах ВОВ на Лавках заходили мессеру в хвост после двух-трех разворотов, а Тузы в игре не могут?
|
| Пт 18-12-2015, 16:45 |
|
 |
|
TUS_Sender
Илитка
Зарегистрирован: Вс 06-11-2005, 18:38 Сообщения: 4091
|
 Re: Ил-2 Штурмовик: Битва за Сталинград
Серый , извини меня, я все претензии к разрабам вывалил на тебя, это не правильно, но факт есть факт - разрабы мудят, и слушать никого не желают, отсюда и негатив. Фактически произошло жульничество, самолёт реальный конкурент мессеру - зарезан и продан за деньги, как та лавка которая рвала Г2-е, хотя бы у земли. И теперь лавка никому не нужна - ни в офлайне, ни в онлайне. Это тот самый самолёт, ставший в войне одним из эталонов советского авиастроения.
Последний раз редактировалось TUS_Sender Пт 18-12-2015, 17:28, всего редактировалось 1 раз.
|
| Пт 18-12-2015, 17:20 |
|
 |
|
Серый
Компарь-рукоблуд
Зарегистрирован: Ср 21-02-2007, 16:18 Сообщения: 144 Откуда: Томск
|
 Re: Ил-2 Штурмовик: Битва за Сталинград
 |  |  |  | TUS_GAA писал(а): Серый, прошу прощения за обращение по позывному,это что бы не злить модераторов делая вложения из Вашего поста. Приведенные Вами таблицы доказывают, что на высотах до 3000м, Ла-5 и Ме-109Ф4 по скоростным показателям равны, опять же время устойчивого виража пусть то же будут равны (хотя у Лавки меньше), Вы можете объяснить каким образом в игре выходит, то что Мессер стоит в вираже, а Лавка очень быстро сваливается? Плача Ярославны не будет, просто хочется понять, как мои учителя в реалии на фронтах ВОВ на Лавках заходили мессеру в хвост после двух-трех разворотов, а Тузы в игре не могут? |  |  |  |  |
Да, в реале форсаж лавки уравнивал шансы на малых высотах.  Ну а лавки которые заходили в хвост за 2-3 виража это 100%-й миф. В отчете по мессеру вот тут http://www.wwiiaircraftperformance.org/ ... 109_G2.pdf сказано что у него установившийся вираж в районе 20 сек. Это получается чтобы зайти в хвост за 2-3 виража нужно иметь вираж 15-16 сек, такое только зеро под силу. А у Ла-5 с маневренностью не все так безоблачно вплоть до конца войны. Нынешняя игровая лавка слизана с образца 37210444, т.е. у нее вираж 22.6 сек. Только единственные в своем роде опытный Ла-5Ф с УБС-ом и ШВАК-ом и Ла-5ФН "дублер" могли выдать 18.5 сек, остальные лавки так и не перескочили порог 19.5 сек, (как у нынешнего Як-1). Лучше обратить внимание на Яки, они куда виражнее, у Як-1Б 18.5 сек, у Як-9 17.5 сек, у Як-3 17.2 сек (выходит он самый маневренный самолет союзников)!
|
| Пт 18-12-2015, 17:26 |
|
 |
|
Серый
Компарь-рукоблуд
Зарегистрирован: Ср 21-02-2007, 16:18 Сообщения: 144 Откуда: Томск
|
 Re: Ил-2 Штурмовик: Битва за Сталинград
 |  |  |  | TUS_Sender писал(а): Серый , извини меня, я все претензии к разрабам вывалил на тебя, это не правильно, но факт есть факт - разрабы мудят, и слушать никого не желают, отсюда и негатив. Фактически произошло жульничество, самолёт реальный конкурент мессеру - зарезан и продан за деньги, как та лавка которая рвала Г2-е, хотя бы у земли. И теперь лавка никому не нужна - ни в офлайне, ни в онлайне. Это тот самый самолёт, ставший в войне одним из эталонов советского авиастроения. |  |  |  |  |
Да все нормально, я тоже офигел когда в онлайне мессер меня на лавке на разгоне у земли догнал.  Наверное запилю неслабый видеообзор который они точно не проигнорируют, а если не они то сообщество. Кстати лавка только в 43-м стала "уважаемой", у первой лавки вираж вообще 25 секунд был и скорость 479, ужос! Мне вот интересно что они сделают из аэрокобры и разблокируют ли чрезвычайный режим как на П-40. Наши в войсках точно ограничитель спиливали сразу. (кстати то-же самое и на испытаниях вероятно Г2 проделали, потому он и получился быстрее Ф2 и Ф4)
Последний раз редактировалось Серый Пн 21-12-2015, 04:44, всего редактировалось 2 раз(а).
|
| Пт 18-12-2015, 17:34 |
|
 |
|
TUS_GAA
Полковник-выскочка
Зарегистрирован: Пн 07-03-2011, 00:51 Сообщения: 1054 Откуда: из СССР
|
 Re: Ил-2 Штурмовик: Битва за Сталинград
Вот буквоед то, в самом лучшем смысле этого слова, благодарен за ответ, 2-3 виража это конечно миф, только SAMUEL об этом не знает, а мы ему и не скажем, это имелось в общечеловеческом а не техническом смысле и честно мне радостно, что есть люди которые не жалея времени ищут и доносят до разработчиков косяки игры, спасибо Вам.
|
| Пт 18-12-2015, 17:34 |
|
 |
|
Серый
Компарь-рукоблуд
Зарегистрирован: Ср 21-02-2007, 16:18 Сообщения: 144 Откуда: Томск
|
 Re: Ил-2 Штурмовик: Битва за Сталинград
Плохие новости по поводу динамичности советских самолетов. Кажется нашел причину. Да, движки у наших самолетов по отношению к весу довольно мощные, особенно у лавки, но возможно причина низкой динамики в низком КПД винтов. Объяснять во всех подробностях - что писать диссертацию, там решают и угол установки лопастей, и диаметр винта, и вес лопастей, и их профиль, и их сопротивление, и обороты (и передаточное число редуктора вала винта, и мощность). Мало того, максимальный КПД достигается только при определенном соотношении перечисленных выше показателей, в противном случае проседает (это касается всех, но в различной степени)... В общем суть такая что если винт для двигателя подобран не оптимально то он не будет развивать тягу на полную мощность. (Он в любом случае не будет т.к. даже у современных винтов КПД не превышает 86%, но это так, к слову). Так что картина тяговооруженности самолетов несколько иная, мощность (с поправкой по высоте) нужно сперва умножать на КПД винта, и после этого делить на вес самолета. Момент с КПД винта я упускал, посчитаю как разберусь, параметры наших винтов в наличии http://www.airpages.ru/forum/screw_5.shtml, высотные характеристики моторов тоже. Надо будет только по немецким винтам найти данные, сейчас весь вечер убил - не нашел. А еще есть другой путь, попроще, без таких заморочек. От тяговооруженности зависят сразу 2 параметра: динамика разгона и (барабанная дробь)его величество скороподъемность! Посмотрел графики скороподъемности на сканах и... в общем смотрите сами... http://www.wwiiaircraftperformance.org/ ... la109g.pdf - Bf.109G2 - 19 м/с (а по финским данным http://www.wwiiaircraftperformance.org/ ... 2-finn.pdf - 22 м/с, видимо в восходящий поток попали  ) http://kurfurst.org/Performance_tests/1 ... DB601N.PDF - Bf.109F2 - 18,5 м/с, график в конце (кстати очень интересный и подробный документ, немецкого не знаю но по цифрам все понял, и догадываюсь каким он будет  ) http://kurfurst.org/Performance_tests/1 ... flown.html - Bf.109F4 - 18,5 м/с (я так понимаю что скан у них есть но не нашел) http://www.wwiiaircraftperformance.org/ ... -11-42.jpg - FW-190A3 - 16 м/с. (офигеть, даже фока...) http://www.wwiiaircraftperformance.org/ ... -chart.jpg - Bf.110G2 - 14 м/с !!! (у нас модификация Е-2, по ней не нашел). Ну и естественно разгон на конкретной высоте пропорционален скороподъемности на этой высоте. И тут картина становится печальной... я бы сказал безысходной, похоже что они действительно так круто разгонялись. И разрабы похоже по этой части сделали все как надо, зря я на них бочку катил по этому направлению. А наши самолеты оставляют желать лучшего: ЛаГГ со своими 13 м/с смотрится просто позорно, и Як с 16 м/с выглядит так себе. Только Лавка со своими 17,3 на форсаже смотрится более менее нормально, а без него у неё остается только 14.6... Так что на динамику разгона и скороподъемность пока можем не рассчитывать, сейчас наше спасение в низкой нагрузке на крыло т.е. хорошей горизонтальной маневренности Яка-1 (Яков 1Б/9 в будущем). А вот уже Ла-5ФН со скоростью 562 (595) км/ч, виражем 19.5 сек (если сделают с 18.5 не буду против), и скороподъемностью 17,7 ( 22) м/с будет рвать все живое, инфа 100%. Только целиться будет не очень удобно Ну еще P-39N-1 может порадовать, все таки высотный мотор, крутая аэродинамика, и http://www.wwiiaircraftperformance.org/ ... speeds.jpg - 550 км/ч у земли, 639 км/ч на высоте 3300м, скороподъемность http://www.wwiiaircraftperformance.org/ ... 1487-A.pdf 19,6 м/сhttp://www.wwiiaircraftperformance.org/ ... 1510-A.pdf !21,8 м/с!нагрузка на крыло 166.1-166,7 кг/кв.м как у Як-9 (у мессера 180, ну вы поняли) так что вираж обещает быть хорошим, не 17,5 сек как у Як-9 из-за "тенденции к сваливанию на больших углах атаки" но не больше 20 наверняка. В википедии пишут "Время / радиус виража: 19 с / 253 м" для модификации D, а она потяжелее будет на 245-257кг (у неё 179 кг/кв.м). + великолепный обзор, ну а про вооружение вообще промолчу, уж если говорят что у M.C.202 "огневая мощь" при двух 12.7мм пулеметах... Но задняя центровка обещает что самолет будет экстремально-капризный, и большая площадь крыла говорит что хорошего крена не будет. PS После всего этого меня можно звать "человек-компарь"  PPS А вот флаттер мессу все равно надо править!!!!! Судя по этому Dive-test отчету его никогда не разгоняли больше 745 по прибору.
|
| Пн 21-12-2015, 04:08 |
|
 |
|
Tesak
Макарыч
Зарегистрирован: Пт 25-04-2008, 08:12 Сообщения: 2355 Откуда: Новокузнецк
|
 Re: Ил-2 Штурмовик: Битва за Сталинград
Давно я так вдумчиво не читал форум... Серый, я просто снимаю шляпу и крепко жму твою руку!
|
| Пн 21-12-2015, 07:11 |
|
 |
|
TUS_GAA
Полковник-выскочка
Зарегистрирован: Пн 07-03-2011, 00:51 Сообщения: 1054 Откуда: из СССР
|
 Re: Ил-2 Штурмовик: Битва за Сталинград
ну что господа дуэлянты, как вам анализ Серого? Так что только групповушка нас спасет 
|
| Пн 21-12-2015, 10:59 |
|
 |
|
Snelius
Падре
Зарегистрирован: Пт 02-02-2007, 13:09 Сообщения: 2192 Откуда: Новосибирск
|
 Re: Ил-2 Штурмовик: Битва за Сталинград
ну я так понял, у мессера всё в порядке (8
_________________ "Война идет, это большая война, это 4 года, это столько людей, её нельзя никак забыть!" - Вавилов Иван Степанович
|
| Пн 21-12-2015, 11:35 |
|
 |
|
TUS_Sender
Илитка
Зарегистрирован: Вс 06-11-2005, 18:38 Сообщения: 4091
|
 Re: Ил-2 Штурмовик: Битва за Сталинград
Групповушка спасёт против одного и хилого.
Про лавку я остаюсь при своём мнение - жульничество разработчиков. Если у мессера в ручную прикрыть радиаторы он даст ещё большую скорость, чем по таблицам, приведённым Серым. И повторюсь - 6,5 минут это НЕ БОЕВЫЕ условия набора максимальной скорости.
_________________ .... делай что должен, и будь, что будет ...
|
| Пн 21-12-2015, 12:49 |
|
 |
|
Snelius
Падре
Зарегистрирован: Пт 02-02-2007, 13:09 Сообщения: 2192 Откуда: Новосибирск
|
 Re: Ил-2 Штурмовик: Битва за Сталинград
ну прям бальзам надушу 
_________________ "Война идет, это большая война, это 4 года, это столько людей, её нельзя никак забыть!" - Вавилов Иван Степанович
|
| Пн 21-12-2015, 14:11 |
|
 |
|
Romeo
Старпер
Зарегистрирован: Вт 20-05-2003, 23:41 Сообщения: 12113 Откуда: с кедра
|
 Re: Ил-2 Штурмовик: Битва за Сталинград
Митрополит Томский, Новосибирский и всея ТОЭ - трололо Сергей Геннадьевич, вы жЫ инжЫнер, вам цифры - а вы про веру. Нет, не улучшает Н-ск томичей, ужОс-ужОс Отче, вон человек сам себе погоняло придумал.А ввиду того, что он компарь не лицензионный, серый (с) - пришей ему погремуху "компарь-рукоблуд" 
_________________ Развалинами Рейхстага - удовлетворён!
Нас бьют - мы летаем!
|
| Пн 21-12-2015, 14:24 |
|
 |
|
Snelius
Падре
Зарегистрирован: Пт 02-02-2007, 13:09 Сообщения: 2192 Откуда: Новосибирск
|
 Re: Ил-2 Штурмовик: Битва за Сталинград
_________________ "Война идет, это большая война, это 4 года, это столько людей, её нельзя никак забыть!" - Вавилов Иван Степанович
|
| Пн 21-12-2015, 14:35 |
|
 |
|
TUS_Sender
Илитка
Зарегистрирован: Вс 06-11-2005, 18:38 Сообщения: 4091
|
 Re: Ил-2 Штурмовик: Битва за Сталинград
Рома, как действующий инженер сообщаю тебе, как бывшему: характеристики и свойства указываются для одинаковых (агрегатных, нормальных) условий, понятно выразился? Если ты внимательно смотрел "цифирки" Ла5 на номинале - 518 км/час. Укажи мне на какой минуте и в каком ролике Серый достиг этой "циферки" на номинале.
_________________ .... делай что должен, и будь, что будет ...
Последний раз редактировалось TUS_Sender Пн 21-12-2015, 15:16, всего редактировалось 1 раз.
|
| Пн 21-12-2015, 15:01 |
|
 |
|
Romeo
Старпер
Зарегистрирован: Вт 20-05-2003, 23:41 Сообщения: 12113 Откуда: с кедра
|
 Re: Ил-2 Штурмовик: Битва за Сталинград
Вполне - вот например мы с тобой сейчас в разных условиях - ты на пределе, стрелки в красной зоне, а я в крейсерско-ржачном  Чьи характеристики понятней разработчикам - цифровые выкладки Серого или твое "Наебаааалииии!"? Тебя послушали, Серого "вдумчиво почитали"(с), "лавка" от сих действий не ускорилась. И чО делать? 
_________________ Развалинами Рейхстага - удовлетворён!
Нас бьют - мы летаем!
|
| Пн 21-12-2015, 15:13 |
|
 |
|
TUS_Sender
Илитка
Зарегистрирован: Вс 06-11-2005, 18:38 Сообщения: 4091
|
 Re: Ил-2 Штурмовик: Битва за Сталинград
Ну то есть, ты признаёшь, что на номинале лавка ни зимой ни летом не даёт заявленной скорости? Кстати Серый это признал.
А что делать - я например летаю на том что есть, надеюсь ты не обиделся на откровенность))))
_________________ .... делай что должен, и будь, что будет ...
|
| Пн 21-12-2015, 15:19 |
|
 |
|
Tesak
Макарыч
Зарегистрирован: Пт 25-04-2008, 08:12 Сообщения: 2355 Откуда: Новокузнецк
|
 Re: Ил-2 Штурмовик: Битва за Сталинград
Летать на Лавке, вот чО делать! Я помню, когда Флинт организовывал маленький сквадик, одним из первых его уроков было следующее. Сам он брал "мессера", а все остальные выбирали любую матчасть ВВС РККА, но до 42 года. Висит он над нами, огня не открывает, сам на расстоянии "ещё пара секунд и я его собью", но этих двух-трех секунд и не хватало, чтобы выйти на огневое решение. А, всё потому, что лезли и пыжились, сетуя на "матчасть-говно". А Флинт терпеливо учил, объяснял, что не в матчасти дело, а в подходе к ней, в тактике и тому подобном. Я с тех пор руководствуюсь принципом "что дали, на том и воюю". Не скрою, что треть, как минимум, из этого набора мне откровенно не нравится, но, может, это от того, что "просто не умею это готовить"?..
|
| Пн 21-12-2015, 15:33 |
|
 |
|
Romeo
Старпер
Зарегистрирован: Вт 20-05-2003, 23:41 Сообщения: 12113 Откуда: с кедра
|
 Re: Ил-2 Штурмовик: Битва за Сталинград
Сережа, ты невнимателен. У меня задекларирован в ходе этой беседы всего один постулат - Серый доказал максималку "лавки". Это очевидно. В остальном - я просто слегка подливаю маслица, ибо мне всегда нравится жизнь на нашем форуме  В тебе все еще столько страсти, респект  (второго когда заведешь, сачок?) Но, как бывший инженер, уверен, что ты, как действующий инженер, понимаешь, что разрабатываемый продукт должен давать определенный выхлоп. Вот был бы ты разработчиком БзС, какой бы ты вариант выхлопа выбрал - пустой сервак, на котором красуется в одиночестве на "правильной" "лавке" некто Сендер, или полный сервак, на котором инфантильные ивроппейцы толпой легко пиздят некоего Сендера, у которого тумблер имеет два положения - "Наебали!" и "Все равно всем пизды дам!" Сдается мне, как действующий инженер, ты бы выбрал второй вариант 
_________________ Развалинами Рейхстага - удовлетворён!
Нас бьют - мы летаем!
|
| Пн 21-12-2015, 15:38 |
|
 |
|
TUS_Sender
Илитка
Зарегистрирован: Вс 06-11-2005, 18:38 Сообщения: 4091
|
 Re: Ил-2 Штурмовик: Битва за Сталинград
Спор стал не конструктивен Рома, слишком много ты личных вопросов поднял, хотя речь о технических. Желаю тебе хоть раз ощутить, как я или Серый, всю мощь законов экономики в виртуальном небе)))
_________________ .... делай что должен, и будь, что будет ...
|
| Пн 21-12-2015, 15:59 |
|
 |
|
Romeo
Старпер
Зарегистрирован: Вт 20-05-2003, 23:41 Сообщения: 12113 Откуда: с кедра
|
 Re: Ил-2 Штурмовик: Битва за Сталинград
Да о чем ты, ваще ничего личного А вот про "хоть раз" я взаправду не понял. БзС далеко не первый авиасимулятор, в котором все это происходит, поэтому я и намекаю на объективность таких процессов. Лофт сотоварищи хочет масла на хлебушке. Вот, освежи память http://lurkmore.to/%D0%90%D0%B1%D0%B1%D ... 1%81%D0%B0
_________________ Развалинами Рейхстага - удовлетворён!
Нас бьют - мы летаем!
|
| Пн 21-12-2015, 17:56 |
|
 |
|
Серый
Компарь-рукоблуд
Зарегистрирован: Ср 21-02-2007, 16:18 Сообщения: 144 Откуда: Томск
|
 Re: Ил-2 Штурмовик: Битва за Сталинград
Ну у земли на форсажном режиме лавка ровно выдает положенные 535 км/ч, как я уже говорил, а вот на номинале 10-15 км/ч не добирает (498 вместо 509-519, скорее всего именно 509, см. лавку №37210444). И разрабы знают об этом и сказали что поправят в следующем обновлении. У мессера Г2 все странно, на автомате не добирает 10 км/ч (должен идти 504 а жмет 496), на ручнике превосходит на 12 км/ч. (должен наверное 507 а жмет 519). Як, как уже говорил, совпадает идеально, 517 км/ч. Фоку уже я сам проверял не правильно, дал барометрическую высоту 200м (ну местность блин высокая, а на спидбаре - радиовысотомер  ), по этому все верно, это вплотную к воде должно быть 544 км/ч а на 500м по прибору 550 км/ч, я же на 200м я получил 547, все сходится. Ф4 свои положенные 526 км/ч на 1.42 перескочил на 533 км\ч т.е. перебор на 7км/ч. В целом цифры не слишком критичные, +-10км/ч, но в бою это чувствуется. К тому же неприятно то что у наших совпад/недобор, а у немцев совпад/перебор. Но в целом самолеты в этом симе летают правильнее чем в том же старичке. И еще - все испытания всегда стараются (и тогда старались) проводить в стандартной атмосфере (температура на уровне моря +15, давление 760), но небольшие погрешности возможны. А точные данные (графики) скороподъемности и скорости для наших самолетов в свободном доступе отсутствуют, так что приходится искать. Но вот амеров, британцев и немцев можно проверить без особых проблем. Знаю точно Як-1 М-105ПФ делал горизонтальные пролеты для охлаждения при наборе высоты, значит его реальная тяговооруженность/скороподъемность немного выше (хотя врядли обойдет месса т.к. по нагрузке на мощность он 109му уступает, но по крайней мере должен дышать в спину, т.е. давать 17-18м/с ), а радиаторы кстати сказать должны быть хуже. Но это надо проверить. Один момент: в БзС кроме заворота в пикирование на скоростях более 800км/ч (из-за супер-резкого ухода центровки максимально вперед, пилот даже среагировать не успеет) не учтено еще одно явление: когда даешь самолету с V-образным расположением крыла небольшой крен - он этот крен медленно выправляет пока скользит, после чего может плавно покачиваться с крыла на крыло (покачивания быстро затухают, качнет не больше 2-3 раз).
|
| Пн 21-12-2015, 18:32 |
|
 |
|
TUS_Sender
Илитка
Зарегистрирован: Вс 06-11-2005, 18:38 Сообщения: 4091
|
 Re: Ил-2 Штурмовик: Битва за Сталинград
Опять же, у меня сложилось субъективное впечатление, что на ранних версиях тестирования лавка была бодрее, по крайней мере бота на фоке я загонял используя именно паритет в скороподъёмности. Всё таки разрабы "крутят" что то, периодически. Кстати Серый, а ты пробовал Ишак VS Эмиль? Эмиль уделывает бота на ишаке в горизонтальном вираже, на третьем железно, на боевом режиме - не кисло, да? Без закрылок даже. Про правильность, я бы так охарактеризовал - больше ньюансов, т.е. модель сложнее, проработанней, чувствуешь вес аппарата, больше про реалистичность ничего не могу сказать - не летал(
_________________ .... делай что должен, и будь, что будет ...
|
| Пн 21-12-2015, 19:47 |
|
 |
|
Серый
Компарь-рукоблуд
Зарегистрирован: Ср 21-02-2007, 16:18 Сообщения: 144 Откуда: Томск
|
 Re: Ил-2 Штурмовик: Битва за Сталинград
Ну с ботами все просто и даже на Ла-5 можно Ф4 обкрутить. С людьми уже такие фокусы не проходят. Если смотреть по честному то я же скидывал отчет где виражность и 109Е(?) Ф2 и Г2 (с подвесами и без) указана. Там у емиля вираж - полный шлак, левый 26.5 сек, правый 29.4сек , но это у трофейного. А так по емилю данные от 20.5 до 23.5. У И-16 со ШВАКами (которые между прочим стали ставить на ишаки только с 27 серии, 24 был с 4 ШКАСами) вираж 18-18.5 сек. Так что не думаю что емиль ишака закрутит. Проверить в игре не смогу тк БзМ еще не покупал. Кстати насчет П-40. http://www.wwiiaircraftperformance.org/ ... 1300-A.pdf взлетный вес 3634 кг http://www.wwiiaircraftperformance.org/ ... 1580-A.pdf взлетный вес 3644 кг Максимальная скорость - 547 км/ч на высоте 3420 м Максимальная скороподъемность - 12.0 м/с (О БОЖЕ!) Нагрузка на крыло - 166,2 кг/кв.м В общем имеем средневысотный, слабо-скоростной, слабодинамичный агрегат с хорошей инерцией (должен хорошо держать энергию), довольно устойчивый. Насчет горизонтальной маневренности - доворот скорее всего отличный из-за низкой нагрузки (можно нехило перетягивать), а установившийся вираж слабый (из-за отвратительной тяговооруженности, та-же история что и с ЛаГГом). Двигатель слишком слаб для такого планера. В общем имеем "УтюГГ-2".
Последний раз редактировалось Серый Пн 21-12-2015, 22:08, всего редактировалось 1 раз.
|
| Пн 21-12-2015, 21:39 |
|
 |
|
TUS_Sender
Илитка
Зарегистрирован: Вс 06-11-2005, 18:38 Сообщения: 4091
|
 Re: Ил-2 Штурмовик: Битва за Сталинград
Для топорика ЛаГГ2 - это слишком, Лагг(-1). Кроме батареи в 8 пулемётов, ничего интересного - самолёт ПВО, самое оно, чем он и стал в ВВС РККА.
_________________ .... делай что должен, и будь, что будет ...
|
| Пн 21-12-2015, 22:06 |
|
 |
|
Серый
Компарь-рукоблуд
Зарегистрирован: Ср 21-02-2007, 16:18 Сообщения: 144 Откуда: Томск
|
 Re: Ил-2 Штурмовик: Битва за Сталинград
Первый раз такое увидел 
|
| Пн 21-12-2015, 23:20 |
|
 |
|
TUS_Sender
Илитка
Зарегистрирован: Вс 06-11-2005, 18:38 Сообщения: 4091
|
 Re: Ил-2 Штурмовик: Битва за Сталинград
Летал на перехват? А кто наземку синюю долбил?
_________________ .... делай что должен, и будь, что будет ...
|
| Вт 22-12-2015, 10:42 |
|
|
Кто сейчас на конференции |
Сейчас этот форум просматривают: нет зарегистрированных пользователей и гости: 1 |
|
Вы не можете начинать темы Вы не можете отвечать на сообщения Вы не можете редактировать свои сообщения Вы не можете удалять свои сообщения Вы не можете добавлять вложения
|
|